Dette publique: hausse trimestrielle de 2,9% à fin mars 2024

• Tirages nets et variation des taux de change en cause
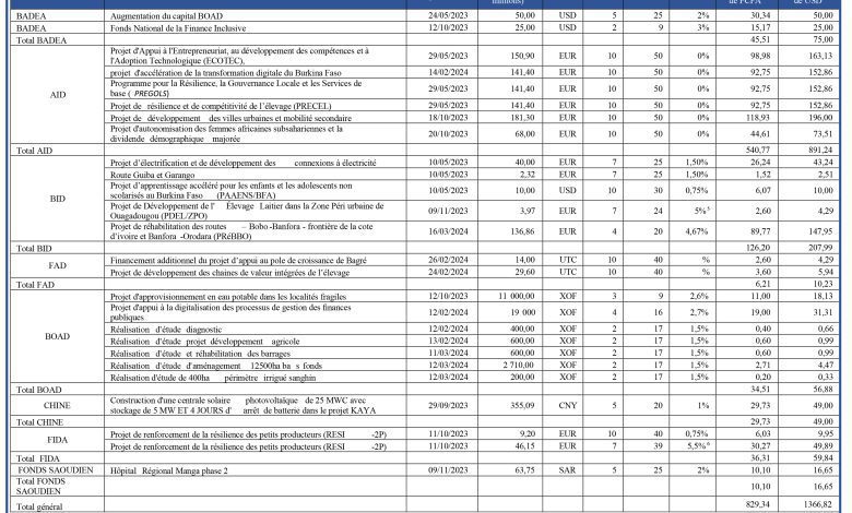
• Liste des prêts signés au cours des derniers douze mois
• Paiement de la dette intérieure: 231,53 milliards FCFA débloqués
L’une des missions régaliennes du ministère de l’Economie, des Finances et de la Prospective est la gestion de la dette publique. Sa bonne prise en charge contribue au bon fonctionnement de l’Etat. C’est dans cette logique que la Direction générale du Trésor et de la Comptabilité publique, attachée audit ministère, tient les statistiques trimestrielles de cette dette publique. En juin dernier, l’institution a publié le second bulletin statistique de l’année. Celui-ci fait ressortir la situation de la dette publique du pays à fin mars 2024. Et il ressort une hausse de 2,9% de cette dette, par rapport à fin décembre 2023. Il est constitué à 43,3% de dette extérieure et 56,7% de dette intérieure.
« Le montant total de la dette publique de l’Etat s’est établi à 7.148,29 milliards FCFA en mars 2024, contre 6.947,90 milliards, un trimestre plus tôt, soit un accroissement de 2,9% », peut-on lire dans le bulletin statistique du Trésor. Le document qui a détaillé les composantes de la dette publique du pays révèle que cette hausse a été impulsée par l’accroissement de l’encours de la dette extérieure du Burkina Faso. Cette dette extérieure a connu une hausse de 4,4% pour s’établir à 3.097,52 milliards FCFA à fin mars 2024. « Cette augmentation s’expliquerait par les effets combinés des tirages nets sur les emprunts extérieurs qui se chiffrent à + 112,68 milliards FCFA au premier trimestre 2024 et de la variation des taux de change (+13 milliards FCFA) », affirme le Trésor public. Cet encours se décompose à la fin du premier trimestre de l’année 2024 de 88,4% envers les organismes multilatéraux ; 8,3% envers les créanciers bilatéraux ; et 3,4% envers les banques commerciales. La part de la dette extérieure exposée aux fluctuations des devises étrangères (hors euro) est estimée à 32,6%.
Baisse du service de la dette
Quant à la dette intérieure de l’Administration centrale, son encours se situe à 4.050,77 milliards FCFA à fin mars 2024, contre 3.980,84 milliards FCFA à fin décembre 2023, soit une hausse de 1,8%. Il est constitué à 79,9% de dette de marché, notamment, les Bons et Obligations du Trésor, selon la DGTCP. Au cours du premier trimestre 2024, les émissions des titres publics sur le marché financier sous-régional ont permis la mobilisation de 170,70 milliards FCFA, dont 93,9 milliards FCFA au titre des Bons du Trésor et 76,8 milliards FCFA pour les Obligations du Trésor. L’encours de la dette au 31 mars 2024, rapporté au PIB à fin décembre 2023, fait ressortir un ratio de 57,9%. S’agissant du service de la dette de l’Administration centrale, le montant des paiements de janvier à mars 2024 s’élève à 268,67 milliards FCFA, en baisse de 9% par rapport au premier trimestre 2023 (295,30 milliards de FCFA). Il se répartit entre créanciers extérieurs et intérieurs pour des montants respectifs de 25,72 milliards FCFA (9,6%) et 231,53 milliards FCFA (90,4%). La ventilation selon le secteur des nouveaux emprunts signés au cours des 12 derniers mois est effectuée principalement au profit du secteur « Transport et infrastructures » (25,3%), « Agriculture, pêche et sylviculture » (19,5%) et « Education » (12,7%). La ventilation selon le secteur montre que 42% des décaissements sont effectués principalement au profit du secteur « Transport et infrastructures », 14,7% au profit du secteur « Eau, assainissement et gestion des déchets » et 12,5% au profit du secteur « Administration ».
NK





